Les alcaloïdes sont parmi les principes actifs les plus puissants du monde végétal. À la fois fascinants et redoutables, ils oscillent entre remèdes précieux et poisons dangereux. Caféine, morphine, nicotine ou quinine… derrière ces noms familiers se cache une immense famille chimique qui a marqué l’histoire de la médecine, de la pharmacologie et même nos habitudes quotidiennes.
Quelques exemples plus ou moins connus d’alcaloïdes
Ce qui est chouette avec les alcaloïdes, c’est que :
- On peut reconnaître plusieurs d’entre eux seulement avec leur nom qui finit en « ine » ou « ïne » ( il faut tout de même vérifier, car il y a des alcaloïdes qui ne suivent pas cette règle, mais également, d’autres principes qui peuvent parfois finir en ine).
- On peut souvent reconnaître la plante de laquelle on a isolé l’alcaloïde en premier.

Voyons si vous pouvez identifier au moins une plante qui contient ces alcaloïdes bien connus?
Caféine, cocaïne, nicotine, morphine, codéine, berbérine, allantoïne, quinine, papavérine, canadine, hydrastine, sanguinarine, lobéline, tussilagine, lupanine.
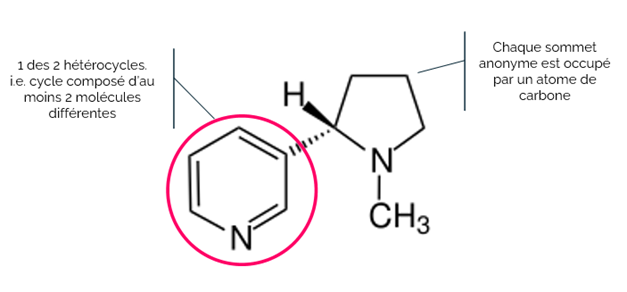
Qu’est-ce qu’un alcaloïde?
C’est une molécule à base azotée (vous savez, le N dans N-P-K?). Le plus souvent, l’azote se retrouve dans un hétérocycle, c’est-à-dire un cycle d’atomes composé d’au moins 2 éléments différents.

Origine du nom
Le terme alcaloïde, attesté en français en 1827, peut être décomposé par la racine alcali* signifiant « base ou à caractère alcalin ou basique » et le suffixe -oïde* signifiant « semblable à, de même forme, de même comportement ».
Pourquoi est-ce important? Parce que cela nous donne un indice important pour mieux l’extraire. À quelques exceptions près, le vinaigre est généralement un excellent solvant pour extraire les alcaloïdes.
Généralement, l’alcool (moyen, à 40% ou élevé, à 70% et +) est également un bon solvant.
Quant à l’huile et à l’eau, elles sont souvent très médiocres, mais il est important de vérifier la solubilité de chaque molécule parce que les alcaloïdes forment une famille nombreuse (plus de 12 000 composés) et très variée.
Pourquoi les plantes fabriquent les alcaloïdes?
L’humain est un des rares mammifères qui tolèrent ou même apprécient certains alcaloïdes. Rappelez-vous que le chocolat est carrément un poison pour votre chien, à cause de la théobromine et de la caféine (les 2 alcaloïdes contenus dans notre cacao).
C’est notamment grâce à certaines enzymes présentes dans notre foie que nous pouvons en digérer quelques-uns. Et encore; la famille des alcaloïdes renferme plusieurs molécules qui sont toxiques pour nous même à faible dose, ou encore qui, malgré une fenêtre thérapeutique intéressante, seront toxiques à forte dose. Certains alcaloïdes attaquent le foie (hépatotoxiques), d’autres, le système nerveux (neurotoxiques), d’autres sont des perturbateurs enzymatiques et, finalement, plusieurs sont très amers et donc désagréables au goût.
En fait, les végétaux produisent la plupart des alcaloïdes comme mécanisme de défense. Ils se protègent ainsi de la gourmandise des herbivores et de plusieurs insectes. C’est d’ailleurs une solution assez commune dans le monde végétal. On rencontre des alcaloïdes chez plusieurs familles de plantes.
Quelques familles qui produisent souvent des alcaloïdes
- Solanaceae (tomate, pomme de terre, tabac, datura, belladone)
- Papaveraceae (pavot – morphine, codéine)
- Fabaceae (légumineuses, lupin – cytisine, sparteine, lupanine)
- Rubiaceae (café, quinquina – quinine, caféine, vinblastine/vincristine)
- Ranunculaceae (aconit, clématite, hellébore – aconitine, hydrastine, protoanémonine) – plantes non comestibles !
- Amaryllidaceae (narcisse – galanthamine) – plantes non comestibles !
- Berberidaceae (berberis, mahonia – berbérine)
- Asteraceae (arnica, séneçon -pyrrolizidines) – ici, la toxicité varie beaucoup selon l’espèce
- Gentianaceae (gentiane – gentianine, swertiamarine)
- Lamiaceae (sauge, échinacée – alcaloïdes pyrrolizidiniques)
- Boraginaceae (consoude, bourrache – allantoïne, alcaloïdes pyrrolizidiniques)
- Caprifoliaceae (valériane – alcaloïdes iridoïdes associés)
Mot de la fin
Les alcaloïdes sont bien plus qu’une curiosité botanique : ils incarnent la force et la complexité du monde végétal. Entre défense naturelle des plantes et trésors thérapeutiques pour l’humain, ils nous rappellent que la frontière entre poison et remède est souvent une question de dosage et de connaissance.
